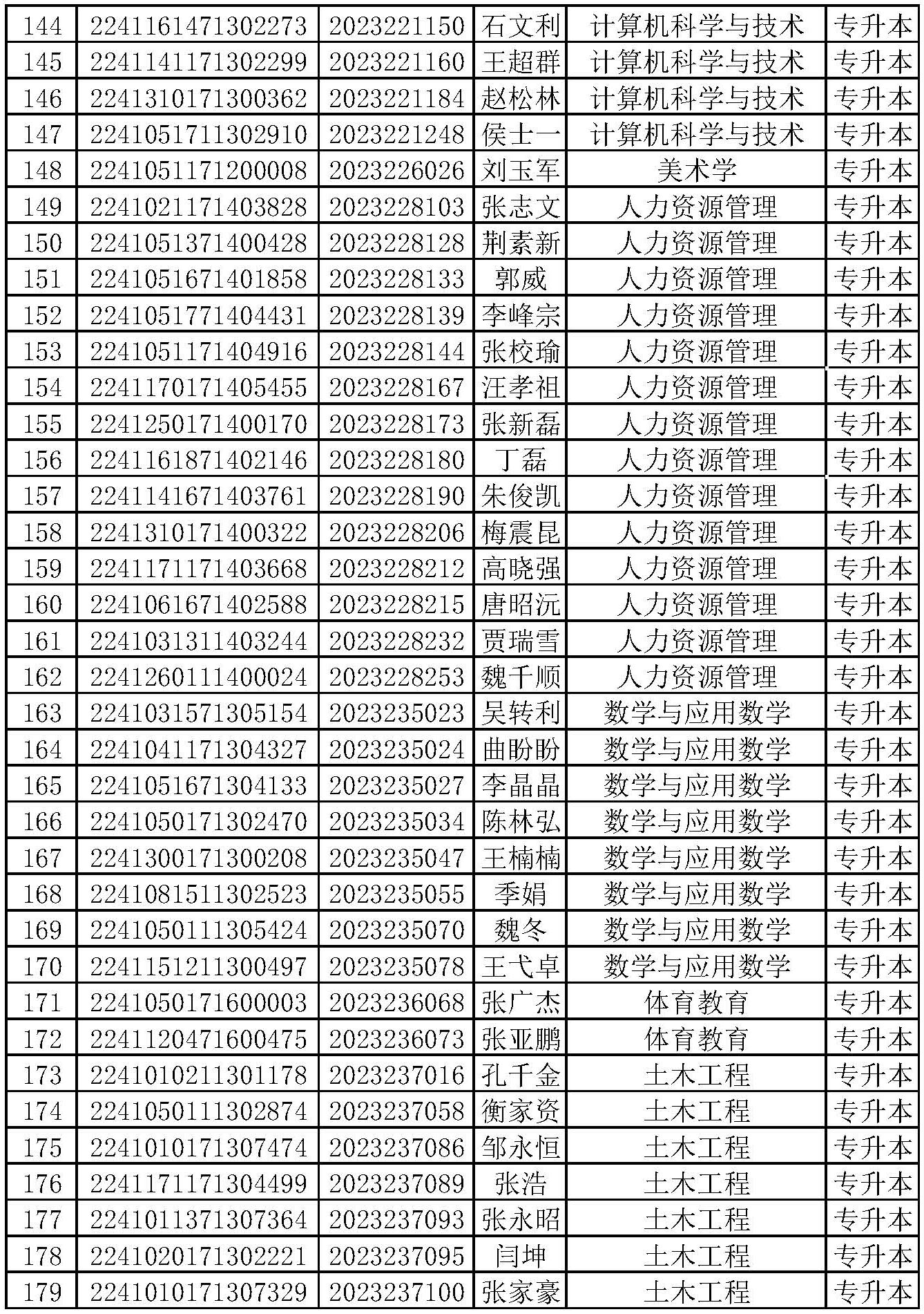
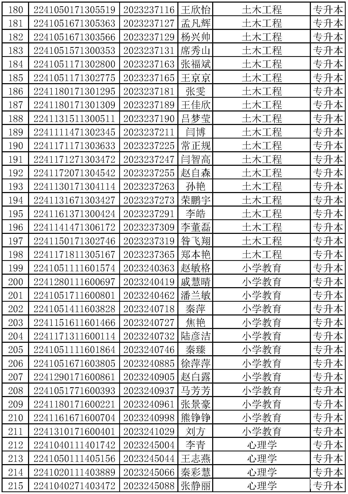
太阳成集团tyc539高等学历继续教育2023级颜景隆等230名新生,经太阳集团tyc539MACAU和校外教学点工作人员联系确认后,分属自动放弃入学资格和无法取得联系,以上均属未在规定时间内交费报到注册。
根据教育部《高等学校学生学籍学历电子注册办法》、《河南省教育厅关于做好普通高等学校录取新生入学资格复查和学籍电子注册工作的通知》、《太阳成集团tyc539成人高等教育学生学籍管理规定》等文件精神,经太阳成集团tyc539太阳集团tyc539MACAU研究,决定取消颜景隆等230名学生2023级高等学历继续教育新生入学资格。
太阳成集团tyc539高等学历继续教育2023级拟取消入学资格人员公示名单







以上学生如对取消入学资格有异议,请在公告期内,向太阳成集团tyc539太阳集团tyc539MACAU提出申诉;逾期未到校提出申诉者,视为同意我校做出的取消入学资格决定。公告日期自2023年6月6日至2023年6月12日。
联系电话:0373—3682223 学籍科
太阳成集团tyc539太阳集团tyc539MACAU
2023年6月6日